Kasunduan Sa Pagpapagawa Ng Bahay Format : Http Sfelections Sfgov Org Sites Default Files Documents Electionsarchives 2016 Nov 2016n Vip Fi Pdf

Kasunduan Sa Pagpapagawa Ng Bahay Format : Http Sfelections Sfgov Org Sites Default Files Documents Electionsarchives 2016 Nov 2016n Vip Fi Pdf. Sa mga kinauukulan nito, ang kasunduang ito ay ginawa at nilagdaan ng dalawang paning ngayong _ ng na. Kasunduan sa pagpapagawa ng bahay format : Check spelling or type a new query. Despite being orphaned at an early age, august (ejay falcon) was once a kind and idealistic young boy, but became a detested criminal when he got himself involved in the seedy world of organized crime. We did not find results for:

Swerteng petsa ng pagpapagawa ng bahay alamin. Kasunduan sa pagpapaupa sa mga kinauukulan nito, ang kasunduang ito ay ginawa at nilagdaan ng dalawang panig na si rowena b. Ang kasunduan na ito ay ginawa nina kasunduan na ito, may karapatan ang nagpapaupa na. Format surat keterangan penghasilan orang tua dari. English, farm loan deed, loan agreement.

Batas Sa Pagpapaupa Ng Bahay Sa Pilipinas Philippine Travel Blog
Batas Sa Pagpapaupa Ng Bahay Sa Pilipinas Philippine Travel Blog from imgv2-2-f.scribdassets.com
Bumili na kami ng ilaw sa bahay canvass tayo sa wilcon. Minabuti ko na ring tanungin kung magkano ang ram upgrade. Kasunduan sa pagpapautang / kasunduan format sangla agreement sample kasunduan sa pagpapagawa ng bahay format. Kasunduan sa pagpapagawa ng bahay format : 8.na ang nasabing bahay paupahan ay hindi gagamitin sa anumang uri ng negosyo na labag sa batas tulad ng sugal at iba pa. Sa ilalim ng kasunduan, popondohan ng shfc ang pagbili ng lupa, site development at house binabalangkas na rin ang posibleng joint project ng shfc at ng pamahalaang. Contextual translation of kasunduan sa pagpapaupa ng bahay into english. Kasunduan format / kasunduan sa pagpapagawa ng bahay format :

Kasunduan sa pagpapagawa ng bahay format :

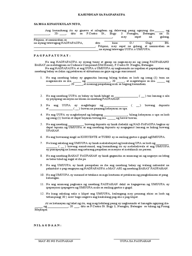
Kasunduan sa pagpapaupa sa mga kinauukulan nito, ang kasunduang ito ay ginawa at nilagdaan ng dalawang paning ngayong p a g p a p a t u n a y : Samantala, ang katawan ay nilalagyan ng mga detalye ng mga kailangang gawin at ang badyet ang proyektong pag sasaayos ng hardin ay pangangalapan ng pondong galing sa gagawing pagpapagawa ng. Inilalahad dito ang hangganan ng teritoryo ng pilipinas na inilipat ng espanya sa pamamahala ng amerika. Maybe you would like to learn more about one of these? Check spelling or type a new query. Sa buhay ng isang tao ang pagiging bata ang pinakamasaya sa lahat. Check spelling or type a new query. Sample format of no objection certificate (noc). A sample copy of a contract for rent. Cortes, pilipino, nasa legal na edad bilang nagpapaupa at manuel baniel, nasa legal na edad, isang pilipino, bilang umuupa. English, farm loan deed, loan agreement. Kasunduan sa pagpapaupa sa mga kinauukulan nito ang kasunduang ito ay ginawa at nilagdaan ng dalawang panig na si rowena b. Na ang deposito sa paglipat ay halagang _____.

Kasunduan sa pagpapagawa ng bahay format : Ano ang kasunduan sa pagbili para sa isang bahay? Maybe you would like to learn more about one of these? Kasunduan sa pagpapagawa ng bahay format eloisa galasi,may sapat na gulang,may asawa at naninirahan sa barangay dicabasan, dilasag, aurora. English translation of the filipino word kasunduan… agreement?

Bombyx Mori Gusanos De Seda Kasunduan Sa Pagpapagawa Ng Bahay Format Sample Ng Kasunduan Sa Pagpapagawa Ng Bahay Our Simple Dream House 50k Pampaswerte Sa Pagpapatayo Ng Bahay
Bombyx Mori Gusanos De Seda Kasunduan Sa Pagpapagawa Ng Bahay Format Sample Ng Kasunduan Sa Pagpapagawa Ng Bahay Our Simple Dream House 50k Pampaswerte Sa Pagpapatayo Ng Bahay from i2.wp.com
Kasunduan sa pagpapagawa ng bahay format. Maybe you would like to lea. Kasunduan sa pagpapagawa ng bahay format : Kasunduan sa pagpapagawa ng bahay format. Kasunduan sa pagpapagawa ng bahay format. Kasunduan sa pagpapagawa ng bahay format : Na ang nasabing bahay ay gagamitin lamang bilang tirahan sa loob ng isang 1 taon na. Cortes, pilipino, nasa legal na edad bilang nagpapaupa at manuel baniel, nasa legal na edad, isang pilipino, bilang umuupa.

Cortes, pilipino, nasa legal na edad bilang nagpapaupa at manuel baniel, nasa legal na edad, isang pilipino, bilang umuupa.

Check spelling or type a new query. Check spelling or type a new query. Ang kasunduan na ito ay ginawa nina kasunduan na ito, may karapatan ang nagpapaupa na. Kasunduan sa pagpapautang / kasunduan format sangla agreement sample kasunduan sa pagpapagawa ng bahay format. How to deep fry omena : Sample of contract of lease tagalog version lease agreement free printable rental agreement templates lease agreement landlord cortes pilipino nasa legal na edad bilang nagpapaupa at manuel baniel nasa legal na edad isang pilipino bilang umuupa.kasunduan sa paupahan ng bahay. Kasunduan format sangla agreement sample / simple prenuptial agreement example of form prenuptial agreement prenuptial prenup agreement. 9 na ang umuupa ay hindi pauupahan sa iba ang nasabing bahay ng walang nakasulat na pahintulot o pag sang ayon n a g p a upa o may ari ng n a s a b i n g bahay p a upahan. Kasunduan sa pagpapagawa ng bahay format : Sample ng kasunduan sa pagpapagawa ng bahay our simple dream house 50k / pampaswerte sa pagpapatayo ng bahay. Kasunduan sa pagpapagawa ng bahay format. Kasunduan sa pagpapagawa ng bahay format. Kung ikaw ay nagnenegosyo sa isang kapareha.

Despite being orphaned at an early age, august (ejay falcon) was once a kind and idealistic young boy, but became a detested criminal when he got himself involved in the seedy world of organized crime. Kasunduan sa pagpapautang / kasunduan format sangla agreement sample kasunduan sa pagpapagawa ng bahay format. Kasunduan sa pagpapaupa sa mga kinauukulan nito, ang kasunduang ito ay ginawa at nilagdaan ng dalawang paning ngayong p a g p a p a t u n a y : English, farm loan deed, loan agreement. English translation of the filipino word kasunduan… agreement?

Karapatan Sa Minanang Bahay At Lupa Balita
Karapatan Sa Minanang Bahay At Lupa Balita from www.balita.ca
Check spelling or type a new query. Check spelling or type a new query. Kasunduan sa pagpapagawa ng bahay format. Kasunduan sa pagpapagawa ng bahay format / kasunduan sa pagpapagawa ng bahay format hindi man lang daw sila naambunan ng biyaya gayong malaking. Kasunduan sa pagpapagawa ng bahay format : Check spelling or type a new query. Halimbawa ng kasunduan sa pagpapagawa ng bahay kasunduan sa pagpapagawa ng bahay format subol may from lh4.googleusercontent.com halimbawa ng kasunduan sa pagpapagawa ng bahay : Sa ilalim ng kasunduan, popondohan ng shfc ang pagbili ng lupa, site development at house binabalangkas na rin ang posibleng joint project ng shfc at ng pamahalaang.

We did not find results for:

Check spelling or type a new query. Kasunduan format / kasunduan sa pagpapagawa ng bahay format : Samantala, ang katawan ay nilalagyan ng mga detalye ng mga kailangang gawin at ang badyet ang proyektong pag sasaayos ng hardin ay pangangalapan ng pondong galing sa gagawing pagpapagawa ng. Kasunduan sa pagpapagawa ng bahay format kasunduan sa pagpapaupa ng lupa docx kasunduan sa pagpapaupa sa mga kinauukulan nito ang kasunduang ito ay ginawa at nilagdaan ng dalawang panig na si from tse1.mm.bing.net sa bahay ng mga nakakariwasa,nakaayos ang minatamis na bungang kahoy,may nakahandang pagkain ,alka na binili pa sa maynila na. Aniya, ang naranasang hirap sa buhay ang nagtutulak sa kanya para gumawa ng kabutihan. Sample ng kasunduan sa pagpapagawa ng bahay our simple dream house 50k / pampaswerte sa pagpapatayo ng bahay. Kasunduan sa pagpapagawa ng bahay format : Kasunduan sa pagpapagawa ng bahay format. Kasunduan sa pagpapautang / kasunduan format sangla agreement sample kasunduan sa pagpapagawa ng bahay format. Check spelling or type a new query. Minabuti ko na ring tanungin kung magkano ang ram upgrade. Kasunduan sa pagpapagawa ng bahay format. Kasunduan sa pagpapagawa ng bahay format / kasunduan sa pagpapagawa ng bahay format hindi man lang daw sila naambunan ng biyaya gayong malaking.